MiniCPM-o-2.6 Lora 微调
MiniCPM-o-2.6是OpenBMB(面壁智能)团队最近开源的多模态大语言模型。以MiniCPM-o-2.6作为基座多模态大模型,通过指令微调的方式实现特定场景下的OCR,是学习多模态LLM微调的入门任务。

本文我们将简要介绍基于 transformers、peft 等框架,使用 MiniCPM-O-2.6 模型在LaTeX_OCR 上进行Lora微调训练,同时使用 SwanLab 监控训练过程与评估模型效果。
LoRA 是一种高效微调方法,深入了解其原理可参见博客:知乎|深入浅出 LoRA。
- 训练过程:ZeyiLin/minicpm-o-2-6-latexcor
- 代码:见此文档同目录下文件夹
04-MiniCPM-0-2.6 Lora微调 参考代码 - 数据集:LaTeX_OCR
- 模型:MiniCPM-o-2.6
- 在线LaTex公式预览网站:latexlive
- 显存占用:约25GB,建议租A100(40GB显存)进行微调
目录
📖 知识点:视觉大模型微调的场景与用法
视觉大模型是指能够支持图片/视频输入的大语言模型,能够极大丰富与LLM的交互方式。
对视觉大模型做微调的一个典型场景,是让它特化成一个更强大、更智能的计算机视觉模型,执行图像分类、目标检测、语义分割、OCR、图像描述任务等等。
并且由于视觉大模型强大的基础能力,所以训练流程变得非常统一——无论是分类、检测还是分割,只需要构建好数据对(图像 -> 文本),都可以用同一套代码完成,相比以往针对不同任务就要构建迥异的训练代码而言,视觉大模型微调要简单粗暴得多,而且效果还更好。
当然,硬币的另一面是要承担更高的计算开销,但在大模型逐渐轻量化的趋势下,可以预想这种训练范式将逐渐成为主流。
👋 SwanLab简介

SwanLab 是一个开源的模型训练记录工具,常被称为"中国版 Weights&Biases + Tensorboard"。SwanLab面向AI研究者,提供了训练可视化、自动日志记录、超参数记录、实验对比、多人协同等功能。在SwanLab上,研究者能基于直观的可视化图表发现训练问题,对比多个实验找到研究灵感,并通过在线链接的分享与基于组织的多人协同训练,打破团队沟通的壁垒。
为什么要记录训练?
相较于软件开发,模型训练更像一个实验科学。一个品质优秀的模型背后,往往是成千上万次实验。研究者需要不断尝试、记录、对比,积累经验,才能找到最佳的模型结构、超参数与数据配比。在这之中,如何高效进行记录与对比,对于研究效率的提升至关重要。
可视化的价值在哪里?
机器学习模型训练往往伴随着大量的超参数、指标、日志等数据,很多关键信息往往存在于实验的中间而非结尾,如果不对连续的指标通过图表进行可视化,往往会错失发现问题的最佳时机,甚至错过关键信息。同时不进行可视化,也难以对比多个实验之间的差异。 可视化也为AI研究者提供了良好的交流基础,研究者们可以基于图表进行沟通、分析与优化,而非以往看着枯燥的终端打印。这打破了团队沟通的壁垒,提高了整体的研发效率。
🌍 环境配置
环境配置分为三步:
- 确保你的电脑上至少有一张英伟达显卡,并已安装好了CUDA环境。
- 安装Python(版本>=3.8)以及能够调用CUDA加速的PyTorch。
- 安装与MiniCPM-O-2.6微调相关的第三方库,可以使用以下命令:
python -m pip install --upgrade pip
# 更换 pypi 源,加速库的安装
pip config set global.index-url https://pypi.tuna.tsinghua.edu.cn/simple
pip install modelscope==1.20.1
pip install transformers==4.44.2
pip install sentencepiece==0.2.0
pip install accelerate==1.0.1
pip install datasets==2.18.0
pip install peft==0.12.0
pip install swanlab==0.4.5
pip install pandas==2.2.2
pip install vocos==0.1.0
pip install vector-quantize-pytorch==1.21.2
pip install timm==1.0.7
pip install soundfile==0.12.1
pip install numpy==1.26.4
pip install oss2
pip install addict
pip install decord
pip install moviepy
pip install librosa考虑到部分同学配置环境可能会遇到一些问题,我们在 AutoDL 平台准备了 InternLM3-8b-Instruct 的环境镜像,点击下方链接并直接创建 AutoDL 示例即可。 https://www.codewithgpu.com/i/datawhalechina/self-llm/self-llm-minicpm-o
📚 准备数据集
本节使用的是 LaTex_OCR 数据集,这个数据集包含了大量的数学公式图片,以及对应的LaTex语法字符串。可以看到,下图中的image就是学术公式图,text就是对应的LaTex语法字符串:

将这些LaTex语法字符串粘贴到latexlive中,可以预览对应的数学公式:

了解了数据集结构之后,我们需要做的是将这些数据整理成MiniCPM-O-2.6需要的json格式,下面是目标的格式:
[
{
"id": "identity_1",
"image": "图片路径",
"conversations": [
{
"role": "user",
"content": "<image>\n这张图对应的LaTex公式是什么?"
},
{
"role": "assistant",
"content": "LaTex公式"
}
]
},
...
]我们来解读一下这个json:
- id:数据对的编号
- image:输入的图像文件路径
- conversations:人类与LLM的对话,类型是列表
- role:角色,user代表人类,assistant代表模型
- content:对话发送的内容,其中user的content是图片标签
<image>和提示词,assistant的回复是LaTex公式
接下来让我们下载数据集并进行处理:
- 我们需要做四件事情:
- 通过Modelscope下载LaTex_OCR数据集
- 加载数据集,将图像保存到本地
- 将图像路径和对应的LaTex公式转换为一个csv文件
- 将csv文件转换为json文件,并拆分为1个训练集和验证集
- 运行下面的代码完成从数据下载到生成csv的过程:
python data2csv.py
python csv2json.py此时目录下会多出3个文件:
|———— latex_ocr_train.csv
|———— latex_ocr_train.json
|———— latex_ocr_val.json至此,我们完成了数据集的准备。
🤖 模型下载与加载
这里我们使用modelscope下载MiniCPM-O-2.6模型,将其保存到本地路径:
from modelscope import snapshot_download
snapshot_download('OpenBMB/MiniCPM-o-2_6', local_dir='/root/autodl-tmp/MiniCPM-o-2_6')注意:记得修改
local_dir为你自己的模型本地下载路径哦~
🐦 集成SwanLab
SwanLab与Transformers已经做好了集成,用法是在Trainer的callbacks参数中添加SwanLabCallback实例,就可以自动记录超参数和训练指标,简化代码如下:
from swanlab.integration.transformers import SwanLabCallback
from transformers import Trainer
swanlab_callback = SwanLabCallback()
trainer = Trainer(
...
callbacks=[swanlab_callback],
)首次使用SwanLab,需要先在官网注册一个账号,然后在用户设置页面复制你的API Key,然后在训练开始提示登录时粘贴即可,后续无需再次登录:


SwanLab API Key的位置:

更多用法可参考快速开始、Transformers集成。
🚀 开始微调
查看可视化训练过程:ZeyiLin/MiniCPM-o-ft-latexocr
代码在本文同目录下的04-MiniCPM-0-2.6 Lora微调 参考代码文件夹中,共有6个py文件,请将他们保存到同一目录下,想直接开始微调,请在完成 准备数据集 后,运行python train.py。
本节代码做了以下几件事:
- 下载并加载MiniCPM-O-2.6模型
- 加载数据集,取前996条数据参与训练,4条数据进行主观评测
- 配置Lora,参数为r=64, lora_alpha=16, lora_dropout=0.05
- 使用SwanLab记录训练过程,包括超参数、指标和最终的模型输出结果
- 训练2个epoch
开始执行代码时的目录结构应该是:
|———— train.py
|———— minicpm_datasets.py
|———— trainer.py
|———— data2csv.py
|———— csv2json.py
|———— latex_ocr_train.csv
|———— latex_ocr_train.json
|———— latex_ocr_val.jsontrain.py完整代码如下
train.py:
import json
from functools import partial
from typing import Dict
from torchvision import transforms
import torch
import transformers
from transformers import AutoModel, AutoTokenizer, TrainingArguments
from minicpm_datasets import SupervisedDataset, data_collator
from trainer import CPMTrainer
from peft import LoraConfig, get_peft_model, PeftModel
from modelscope import snapshot_download
import swanlab
from swanlab.integration.transformers import SwanLabCallback
import os
from PIL import Image
def make_supervised_data_module(
tokenizer: transformers.PreTrainedTokenizer,
data_path,
transform,
data_collator=None,
llm_type="qwen",
slice_config=None,
patch_size=14,
query_nums=64,
batch_vision=False,
max_length=2048,
) -> Dict:
"""Make dataset and collator for supervised fine-tuning."""
print("Loading data...")
train_json = json.load(open(data_path, "r"))
train_dataset = SupervisedDataset(
train_json,
transform,
tokenizer,
slice_config=slice_config,
llm_type=llm_type,
patch_size=patch_size,
query_nums=query_nums,
batch_vision=batch_vision,
max_length=max_length,
)
return dict(
train_dataset=train_dataset,
eval_dataset=None,
data_collator= partial(data_collator, max_length=max_length),
)
model_id = "OpenBMB/MiniCPM-o-2_6"
data_path="./latex_ocr_train.json"
output_dir="./output/minicpm-o-2-6-latexocr"
llm_type: str = "qwen"
tune_vision: bool = True
tune_llm: bool = False
use_lora: bool = True
max_steps: int = 1000
model_max_length: int = 2048
max_slice_nums: int = 9
lora_rank: int = 64
lora_alpha: int = 16
lora_dropout: float = 0.1
# 设置Transformers训练参数
training_args = TrainingArguments(
output_dir=output_dir,
bf16=True,
logging_strategy="steps",
per_device_train_batch_size=1,
per_device_eval_batch_size=1,
gradient_accumulation_steps=1,
save_strategy="steps",
save_steps=500,
max_steps=max_steps,
save_total_limit=10,
learning_rate=1e-6,
weight_decay=0.1,
adam_beta2=0.95,
warmup_ratio=0.01,
lr_scheduler_type="cosine",
logging_steps=10,
gradient_checkpointing=True,
label_names="labels",
remove_unused_columns=False,
gradient_checkpointing_kwargs={"use_reentrant":False},
report_to="none",
)
# 下载模型
model_dir = snapshot_download(model_id, cache_dir="/root/autodl-tmp/", revision="master")
# 加载模型
model = AutoModel.from_pretrained(
model_dir,
trust_remote_code=True,
torch_dtype=torch.bfloat16,
device_map=None,
init_vision=True,
init_audio=False,
init_tts=False,
)
# 加载tokenizer
tokenizer = AutoTokenizer.from_pretrained(model_dir, trust_remote_code=True)
# 参数冻结
if not tune_vision:
model.vpm.requires_grad_(False)
if not tune_llm:
model.llm.requires_grad_(False)
# 配置Lora
if use_lora:
# 如果同时微调llm和使用lora,则报错
if use_lora and tune_llm:
raise ValueError("The model cannot simultaneously adjust LLM parameters and apply LoRA.")
print("Currently using LoRA for fine-tuning the MiniCPM-V model.")
# 冻结llm参数
for name, param in model.llm.named_parameters():
param.requires_grad = False
# 设置需要保存的模块
modules_to_save = ['embed_tokens','resampler']
if tune_vision:
modules_to_save.append('vpm')
# 设置lora配置
lora_config = LoraConfig(
r=lora_rank,
lora_alpha=lora_alpha,
target_modules="llm\..*layers\.\d+\.self_attn\.(q_proj|k_proj|v_proj|o_proj)",
lora_dropout=lora_dropout,
)
# 将模型转换为peft模型
model = get_peft_model(model, lora_config)
# 启用输入梯度
model.enable_input_require_grads()
model.config.slice_config.max_slice_nums = max_slice_nums
slice_config = model.config.slice_config.to_dict()
batch_vision = model.config.batch_vision_input
# 设置数据集预处理
transform_func = transforms.Compose(
[
transforms.ToTensor(),
transforms.Normalize(
mean=(0.5, 0.5, 0.5) , std=(0.5, 0.5, 0.5)
),
]
)
# 数据集模块
data_module = make_supervised_data_module(
tokenizer=tokenizer,
data_path=data_path,
transform=transform_func,
data_collator=data_collator,
slice_config=slice_config,
llm_type=llm_type,
patch_size=model.config.patch_size,
query_nums=model.config.query_num,
batch_vision=batch_vision,
max_length=model_max_length,
)
# 集成SwanLab训练可视化工具
swanlab_callback = SwanLabCallback(
project="minicpm-o-2-6-latexcor",
experiment_name="minicpm-o-2-6",
config={
"github_repo": "self-llm",
"model": "https://modelscope.cn/models/OpenBMB/MiniCPM-o-2_6",
"dataset": "https://modelscope.cn/datasets/AI-ModelScope/LaTeX_OCR/summary",
"model_id": model_id,
"train_dataset_json_path": data_path,
"output_dir": "output/output__lora",
"token_max_length": model_max_length,
"lora_rank": lora_rank,
"lora_alpha": lora_alpha,
"lora_dropout": lora_dropout,
}
)
trainer = CPMTrainer(
model=model,
tokenizer=tokenizer,
args=training_args,
use_lora=use_lora,
callbacks=[swanlab_callback],
**data_module,
)
trainer.train()
# ========== 主观测试 ==========
# 释放trainer中的model显存
trainer.model.cpu()
del trainer.model
if torch.cuda.is_available():
torch.cuda.empty_cache()
# 获取测试模型,从output_dir中获取最新的checkpoint
load_model_path = f"{output_dir}/checkpoint-{max([int(d.split('-')[-1]) for d in os.listdir(output_dir) if d.startswith('checkpoint-')])}"
print(f"load_model_path: {load_model_path}")
origin_model = AutoModel.from_pretrained(model_dir, trust_remote_code=True)
val_lora_model = PeftModel.from_pretrained(
origin_model,
load_model_path,
device_map="auto",
trust_remote_code=True
).eval().cuda()
# 读取测试数据
with open("./latex_ocr_val.json", "r") as f:
test_dataset = json.load(f)
test_image_list = []
for item in test_dataset:
image_file_path = item["image"]
label = item["conversations"][1]["content"]
image = Image.open(image_file_path).convert('RGB')
question = "这张图对应的LaTex公式是什么?"
msgs = [{'role': 'user', 'content': [image, question]}]
answer = val_lora_model.chat(
msgs=msgs,
tokenizer=tokenizer
)
print(f"predict:{answer}")
print(f"gt:{label}\n")
test_image_list.append(swanlab.Image(image_file_path, caption=answer))
swanlab.log({"Prediction": test_image_list})
# 在Jupyter Notebook中运行时要停止SwanLab记录,需要调用swanlab.finish()
swanlab.finish()我们运行python train.py,可以看到下面的进度条即代表训练开始:

💻 训练结果演示
详细训练过程请看这里:ZeyiLin/MiniCPM-o-2-6-latexcor

从SwanLab图表中我们可以看到,学习率的下降策略是Cosine,loss随step逐渐下降。
在Prediction图表中记录着模型最终的输出结果,可以看到模型在回答的风格已经是标准的LaTex语法。

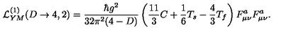
我们来对结果进行验证。我们选择图片LaTeX_OCR/998.jpg:

让lora微调前后的模型进行回答。
没有微调模型的回答:
图像中的LaTeX公式为:
\[ \mathcal{L}_{YM}^{(1)}(D\rightarrow 4,2) = \frac{\hbar g^2}{32\pi^2(4-D)} \left( \frac{11}{3}C + \frac{1}{6}T_s - \frac{4}{3}T_f \right) F^\mu_{\mu\nu}F^a_{\mu\nu} \]
解释:
- \(\mathcal{L}_{YM}\) 表示规范场理论的拉格朗日量。
- \(g\) 和 \(\hbar\) 分别是耦合常数和约化普朗克常数。
- \(C\)、\(T_s\) 和 \(T_f\) 是与规范场相关的张量。
- \(F^\mu_{\mu\nu}\) 和 \(F^a_{\mu\nu}\) 分别表示标量场和规范场的场强度。
这个公式描述了从 \(D\) 维到 \(4\) 维的规范场理论的拉格朗日量,考虑了 \(D\) 维空间中规范场的行为。Lora微调后模型的回答:
\mathrm{tr}\mathrm{i}\mathrm{r}_{s} \left( \bar{\Phi } _{A} ^{(3)} \right) = (g h_{1} \left( \Phi ^{A} \right) + 1, g h_{2} \left( \Phi ^{A} \right) + 1, g h_{3} \left( \Phi ^{A} \right) ) ,可以看到没有微调的模型,对于输出的风格不是我们想要的,并且公式有存在一些错误(比如在右边第二个F的上标应该是a,但原模型给了u)
而微调后的模型,有着非常完美表现:

🧐 推理LoRA微调后的模型
加载lora微调后的模型,并进行推理:
from peft import PeftModel
from transformers import AutoModel, AutoTokenizer
from PIL import Image
model_path= "/root/autodl-tmp/OpenBMB/MiniCPM-o-2_6"
path_to_adapter="./output/minicpm-o-2-6-latexocr/checkpoint-1000"
model = AutoModel.from_pretrained(
model_path,
trust_remote_code=True,
)
lora_model = PeftModel.from_pretrained(
model,
path_to_adapter,
device_map="auto",
trust_remote_code=True
).eval().cuda()
tokenizer = AutoTokenizer.from_pretrained(model_path, trust_remote_code=True)
image = Image.open('./LaTeX_OCR/998.jpg').convert('RGB')
question = "这张图对应的LaTex公式是什么?"
msgs = [{'role': 'user', 'content': [image, question]}]
answer = lora_model.chat(
msgs=msgs,
tokenizer=tokenizer
)
print(answer)
补充
注意
- 在微调脚本中,
path_to_adapter加载的是一共固定的checkpoint文件,如果你添加了数据或超参数,请根据实际情况修改checkpoint文件路径。
