Qwen2-VL-2B-Instruct Lora 微调案例 - LaTexOCR
Qwen2-VL是通义千问团队最近开源的大语言模型,由阿里云通义实验室研发。
以Qwen2-VL作为基座多模态大模型,通过指令微调的方式实现特定场景下的OCR,是学习多模态LLM微调的入门任务。

本文我们将简要介绍基于 transformers、peft 等框架,使用 Qwen2-VL-2B-Instruct 模型在LaTeX_OCR 上进行Lora微调训练,同时使用 SwanLab 监控训练过程与评估模型效果。
- 训练过程:ZeyiLin/Qwen2-VL-ft-latexocr
- 代码:见此文档同目录下文件夹
06-Qwen2-VL-2B-Instruct Lora微调案例LaTexOCR 参考代码 - 数据集:LaTeX_OCR
- 模型:Qwen2-VL-2B-Instruct
- 在线LaTex公式预览网站:latexlive
- 显存占用:约20GB,如显存不足,请调低per_device_train_batch_size
目录
📖 知识点:视觉大模型微调的场景与用法
视觉大模型是指能够支持图片/视频输入的大语言模型,能够极大丰富与LLM的交互方式。
对视觉大模型做微调的一个典型场景,是让它特化成一个更强大、更智能的计算机视觉模型,执行图像分类、目标检测、语义分割、OCR、图像描述任务等等。
并且由于视觉大模型强大的基础能力,所以训练流程变得非常统一——无论是分类、检测还是分割,只需要构建好数据对(图像 -> 文本),都可以用同一套代码完成,相比以往针对不同任务就要构建迥异的训练代码而言,视觉大模型微调要简单粗暴得多,而且效果还更好。
当然,硬币的另一面是要承担更高的计算开销,但在大模型逐渐轻量化的趋势下,可以预想这种训练范式将逐渐成为主流。
👋 SwanLab简介

SwanLab 是一个开源的模型训练记录工具,常被称为"中国版 Weights&Biases + Tensorboard"。SwanLab面向AI研究者,提供了训练可视化、自动日志记录、超参数记录、实验对比、多人协同等功能。在SwanLab上,研究者能基于直观的可视化图表发现训练问题,对比多个实验找到研究灵感,并通过在线链接的分享与基于组织的多人协同训练,打破团队沟通的壁垒。
为什么要记录训练?
相较于软件开发,模型训练更像一个实验科学。一个品质优秀的模型背后,往往是成千上万次实验。研究者需要不断尝试、记录、对比,积累经验,才能找到最佳的模型结构、超参数与数据配比。在这之中,如何高效进行记录与对比,对于研究效率的提升至关重要。
可视化的价值在哪里?
机器学习模型训练往往伴随着大量的超参数、指标、日志等数据,很多关键信息往往存在于实验的中间而非结尾,如果不对连续的指标通过图表进行可视化,往往会错失发现问题的最佳时机,甚至错过关键信息。同时不进行可视化,也难以对比多个实验之间的差异。 可视化也为AI研究者提供了良好的交流基础,研究者们可以基于图表进行沟通、分析与优化,而非以往看着枯燥的终端打印。这打破了团队沟通的壁垒,提高了整体的研发效率。
🌍 环境配置
环境配置分为三步:
- 确保你的电脑上至少有一张英伟达显卡,并已安装好了CUDA环境。
- 安装Python(版本>=3.8)以及能够调用CUDA加速的PyTorch。
- 安装与Qwen2-VL微调相关的第三方库,可以使用以下命令:
python -m pip install --upgrade pip
# 更换 pypi 源,加速库的安装
pip config set global.index-url https://pypi.tuna.tsinghua.edu.cn/simple
pip install modelscope==1.18.0
pip install transformers==4.46.2
pip install sentencepiece==0.2.0
pip install accelerate==1.1.1
pip install datasets==2.18.0
pip install peft==0.13.2
pip install swanlab==0.3.27
pip install qwen-vl-utils==0.0.8
pip install pandas==2.2.2📚 准备数据集
本节使用的是 LaTex_OCR 数据集,这个数据集包含了大量的数学公式图片,以及对应的LaTex语法字符串。可以看到,下图中的image就是学术公式图,text就是对应的LaTex语法字符串:

将这些LaTex语法字符串粘贴到latexlive中,可以预览对应的数学公式:

了解了数据集结构之后,我们需要做的是将这些数据整理成Qwen2-VL需要的json格式,下面是目标的格式:
[
{
"id": "identity_1",
"conversations": [
{
"role": "user",
"value": "图片路径"
},
{
"role": "assistant",
"value": "LaTex公式"
}
]
},
...
]我们来解读一下这个json:
- id:数据对的编号
- conversations:人类与LLM的对话,类型是列表
- role:角色,user代表人类,assistant代表模型
- content:聊天发送的内容,其中user的value是图片路径,assistant的回复是LaTex公式
接下来让我们下载数据集并进行处理:
- 我们需要做四件事情:
- 通过Modelscope下载LaTex_OCR数据集
- 加载数据集,将图像保存到本地
- 将图像路径和描述文本转换为一个csv文件
- 将csv文件转换为json文件,包含1个训练集和验证集
- 使用下面的代码完成从数据下载到生成csv的过程:
data2csv.py:
# 导入所需的库
from modelscope.msdatasets import MsDataset
import os
import pandas as pd
MAX_DATA_NUMBER = 1000
dataset_id = 'AI-ModelScope/LaTeX_OCR'
subset_name = 'default'
split = 'train'
dataset_dir = 'LaTeX_OCR'
csv_path = './latex_ocr_train.csv'
# 检查目录是否已存在
if not os.path.exists(dataset_dir):
# 从modelscope下载COCO 2014图像描述数据集
ds = MsDataset.load(dataset_id, subset_name=subset_name, split=split)
print(len(ds))
# 设置处理的图片数量上限
total = min(MAX_DATA_NUMBER, len(ds))
# 创建保存图片的目录
os.makedirs(dataset_dir, exist_ok=True)
# 初始化存储图片路径和描述的列表
image_paths = []
texts = []
for i in range(total):
# 获取每个样本的信息
item = ds[i]
text = item['text']
image = item['image']
# 保存图片并记录路径
image_path = os.path.abspath(f'{dataset_dir}/{i}.jpg')
image.save(image_path)
# 将路径和描述添加到列表中
image_paths.append(image_path)
texts.append(text)
# 每处理50张图片打印一次进度
if (i + 1) % 50 == 0:
print(f'Processing {i+1}/{total} images ({(i+1)/total*100:.1f}%)')
# 将图片路径和描述保存为CSV文件
df = pd.DataFrame({
'image_path': image_paths,
'text': texts,
})
# 将数据保存为CSV文件
df.to_csv(csv_path, index=False)
print(f'数据处理完成,共处理了{total}张图片')
else:
print(f'{dataset_dir}目录已存在,跳过数据处理步骤')3. 在同一目录下,用以下代码,将csv文件转换为json文件(训练集+验证集):
csv2json.py:
import pandas as pd
import json
csv_path = './latex_ocr_train.csv'
train_json_path = './latex_ocr_train.json'
val_json_path = './latex_ocr_val.json'
df = pd.read_csv(csv_path)
# Create conversation format
conversations = []
# Add image conversations
for i in range(len(df)):
conversations.append({
"id": f"identity_{i+1}",
"conversations": [
{
"role": "user",
"value": f"{df.iloc[i]['image_path']}"
},
{
"role": "assistant",
"value": str(df.iloc[i]['text'])
}
]
})
# print(conversations)
# Save to JSON
# Split into train and validation sets
train_conversations = conversations[:-4]
val_conversations = conversations[-4:]
# Save train set
with open(train_json_path, 'w', encoding='utf-8') as f:
json.dump(train_conversations, f, ensure_ascii=False, indent=2)
# Save validation set
with open(val_json_path, 'w', encoding='utf-8') as f:
json.dump(val_conversations, f, ensure_ascii=False, indent=2)此时目录下会多出3个文件:
- latex_ocr_train.csv
- latex_ocr_train.json
- latex_ocr_val.json
至此,我们完成了数据集的准备。
🤖 模型下载与加载
这里我们使用modelscope下载Qwen2-VL-2B-Instruct模型,然后把它加载到Transformers中进行训练:
from modelscope import snapshot_download, AutoTokenizer
from transformers import TrainingArguments, Trainer, DataCollatorForSeq2Seq, Qwen2VLForConditionalGeneration, AutoProcessor
import torch
# 在modelscope上下载Qwen2-VL模型到本地目录下
model_dir = snapshot_download("Qwen/Qwen2-VL-2B-Instruct", cache_dir="./", revision="master")
# 使用Transformers加载模型权重
tokenizer = AutoTokenizer.from_pretrained("./Qwen/Qwen2-VL-2B-Instruct/", use_fast=False, trust_remote_code=True)
# 特别的,Qwen2-VL-2B-Instruct模型需要使用Qwen2VLForConditionalGeneration来加载
model = Qwen2VLForConditionalGeneration.from_pretrained("./Qwen/Qwen2-VL-2B-Instruct/", device_map="auto", torch_dtype=torch.bfloat16, trust_remote_code=True,)
model.enable_input_require_grads() # 开启梯度检查点时,要执行该方法模型大小为 4.5GB,下载模型大概需要 5 分钟。
🐦 集成SwanLab
SwanLab与Transformers已经做好了集成,用法是在Trainer的callbacks参数中添加SwanLabCallback实例,就可以自动记录超参数和训练指标,简化代码如下:
from swanlab.integration.transformers import SwanLabCallback
from transformers import Trainer
swanlab_callback = SwanLabCallback()
trainer = Trainer(
...
callbacks=[swanlab_callback],
)首次使用SwanLab,需要先在官网注册一个账号,然后在用户设置页面复制你的API Key,然后在训练开始提示登录时粘贴即可,后续无需再次登录:

更多用法可参考快速开始、Transformers集成。
🚀 开始微调(完整代码)
查看可视化训练过程:ZeyiLin/Qwen2-VL-ft-latexocr
本节代码做了以下几件事:
- 下载并加载Qwen2-VL-2B-Instruct模型
- 加载数据集,取前996条数据参与训练,4条数据进行主观评测
- 配置Lora,参数为r=64, lora_alpha=16, lora_dropout=0.05
- 使用SwanLab记录训练过程,包括超参数、指标和最终的模型输出结果
- 训练2个epoch
开始执行代码时的目录结构应该是:
|———— train.py
|———— data2csv.py
|———— csv2json.py
|———— latex_ocr_train.csv
|———— latex_ocr_train.json
|———— latex_ocr_val.json完整代码如下
train.py:
import torch
from datasets import Dataset
from modelscope import snapshot_download, AutoTokenizer
from swanlab.integration.transformers import SwanLabCallback
from qwen_vl_utils import process_vision_info
from peft import LoraConfig, TaskType, get_peft_model, PeftModel
from transformers import (
TrainingArguments,
Trainer,
DataCollatorForSeq2Seq,
Qwen2VLForConditionalGeneration,
AutoProcessor,
)
import swanlab
import json
import os
prompt = "你是一个LaText OCR助手,目标是读取用户输入的照片,转换成LaTex公式。"
model_id = "Qwen/Qwen2-VL-2B-Instruct"
local_model_path = "./Qwen/Qwen2-VL-2B-Instruct"
train_dataset_json_path = "latex_ocr_train.json"
val_dataset_json_path = "latex_ocr_val.json"
output_dir = "./output/Qwen2-VL-2B-LatexOCR"
MAX_LENGTH = 8192
def process_func(example):
"""
将数据集进行预处理
"""
input_ids, attention_mask, labels = [], [], []
conversation = example["conversations"]
image_file_path = conversation[0]["value"]
output_content = conversation[1]["value"]
messages = [
{
"role": "user",
"content": [
{
"type": "image",
"image": f"{image_file_path}",
"resized_height": 500,
"resized_width": 100,
},
{"type": "text", "text": prompt},
],
}
]
text = processor.apply_chat_template(
messages, tokenize=False, add_generation_prompt=True
) # 获取文本
image_inputs, video_inputs = process_vision_info(messages) # 获取数据数据(预处理过)
inputs = processor(
text=[text],
images=image_inputs,
videos=video_inputs,
padding=True,
return_tensors="pt",
)
inputs = {key: value.tolist() for key, value in inputs.items()} #tensor -> list,为了方便拼接
instruction = inputs
response = tokenizer(f"{output_content}", add_special_tokens=False)
input_ids = (
instruction["input_ids"][0] + response["input_ids"] + [tokenizer.pad_token_id]
)
attention_mask = instruction["attention_mask"][0] + response["attention_mask"] + [1]
labels = (
[-100] * len(instruction["input_ids"][0])
+ response["input_ids"]
+ [tokenizer.pad_token_id]
)
if len(input_ids) > MAX_LENGTH: # 做一个截断
input_ids = input_ids[:MAX_LENGTH]
attention_mask = attention_mask[:MAX_LENGTH]
labels = labels[:MAX_LENGTH]
input_ids = torch.tensor(input_ids)
attention_mask = torch.tensor(attention_mask)
labels = torch.tensor(labels)
inputs['pixel_values'] = torch.tensor(inputs['pixel_values'])
inputs['image_grid_thw'] = torch.tensor(inputs['image_grid_thw']).squeeze(0) #由(1,h,w)变换为(h,w)
return {"input_ids": input_ids, "attention_mask": attention_mask, "labels": labels,
"pixel_values": inputs['pixel_values'], "image_grid_thw": inputs['image_grid_thw']}
def predict(messages, model):
# 准备推理
text = processor.apply_chat_template(
messages, tokenize=False, add_generation_prompt=True
)
image_inputs, video_inputs = process_vision_info(messages)
inputs = processor(
text=[text],
images=image_inputs,
videos=video_inputs,
padding=True,
return_tensors="pt",
)
inputs = inputs.to("cuda")
# 生成输出
generated_ids = model.generate(**inputs, max_new_tokens=MAX_LENGTH)
generated_ids_trimmed = [
out_ids[len(in_ids) :] for in_ids, out_ids in zip(inputs.input_ids, generated_ids)
]
output_text = processor.batch_decode(
generated_ids_trimmed, skip_special_tokens=True, clean_up_tokenization_spaces=False
)
return output_text[0]
# 在modelscope上下载Qwen2-VL模型到本地目录下
model_dir = snapshot_download(model_id, cache_dir="./", revision="master")
# 使用Transformers加载模型权重
tokenizer = AutoTokenizer.from_pretrained(local_model_path, use_fast=False, trust_remote_code=True)
processor = AutoProcessor.from_pretrained(local_model_path)
origin_model = Qwen2VLForConditionalGeneration.from_pretrained(local_model_path, device_map="auto", torch_dtype=torch.bfloat16, trust_remote_code=True,)
origin_model.enable_input_require_grads() # 开启梯度检查点时,要执行该方法
# 处理数据集:读取json文件
train_ds = Dataset.from_json(train_dataset_json_path)
train_dataset = train_ds.map(process_func)
# 配置LoRA
config = LoraConfig(
task_type=TaskType.CAUSAL_LM,
target_modules=["q_proj", "k_proj", "v_proj", "o_proj", "gate_proj", "up_proj", "down_proj"],
inference_mode=False, # 训练模式
r=64, # Lora 秩
lora_alpha=16, # Lora alaph,具体作用参见 Lora 原理
lora_dropout=0.05, # Dropout 比例
bias="none",
)
# 获取LoRA模型
train_peft_model = get_peft_model(origin_model, config)
# 配置训练参数
args = TrainingArguments(
output_dir=output_dir,
per_device_train_batch_size=4,
gradient_accumulation_steps=4,
logging_steps=10,
logging_first_step=10,
num_train_epochs=2,
save_steps=100,
learning_rate=1e-4,
save_on_each_node=True,
gradient_checkpointing=True,
report_to="none",
)
# 设置SwanLab回调
swanlab_callback = SwanLabCallback(
project="Qwen2-VL-ft-latexocr",
experiment_name="7B-1kdata",
config={
"model": "https://modelscope.cn/models/Qwen/Qwen2-VL-7B-Instruct",
"dataset": "https://modelscope.cn/datasets/AI-ModelScope/LaTeX_OCR/summary",
# "github": "https://github.com/datawhalechina/self-llm",
"model_id": model_id,
"train_dataset_json_path": train_dataset_json_path,
"val_dataset_json_path": val_dataset_json_path,
"output_dir": output_dir,
"prompt": prompt,
"train_data_number": len(train_ds),
"token_max_length": MAX_LENGTH,
"lora_rank": 64,
"lora_alpha": 16,
"lora_dropout": 0.1,
},
)
# 配置Trainer
trainer = Trainer(
model=train_peft_model,
args=args,
train_dataset=train_dataset,
data_collator=DataCollatorForSeq2Seq(tokenizer=tokenizer, padding=True),
callbacks=[swanlab_callback],
)
# 开启模型训练
trainer.train()
# ====================测试===================
# 配置测试参数
val_config = LoraConfig(
task_type=TaskType.CAUSAL_LM,
target_modules=["q_proj", "k_proj", "v_proj", "o_proj", "gate_proj", "up_proj", "down_proj"],
inference_mode=True, # 训练模式
r=64, # Lora 秩
lora_alpha=16, # Lora alaph,具体作用参见 Lora 原理
lora_dropout=0.05, # Dropout 比例
bias="none",
)
# 获取测试模型,从output_dir中获取最新的checkpoint
load_model_path = f"{output_dir}/checkpoint-{max([int(d.split('-')[-1]) for d in os.listdir(output_dir) if d.startswith('checkpoint-')])}"
print(f"load_model_path: {load_model_path}")
val_peft_model = PeftModel.from_pretrained(origin_model, model_id=load_model_path, config=val_config)
# 读取测试数据
with open(val_dataset_json_path, "r") as f:
test_dataset = json.load(f)
test_image_list = []
for item in test_dataset:
image_file_path = item["conversations"][0]["value"]
label = item["conversations"][1]["value"]
messages = [{
"role": "user",
"content": [
{
"type": "image",
"image": image_file_path,
"resized_height": 100,
"resized_width": 500,
},
{
"type": "text",
"text": prompt,
}
]}]
response = predict(messages, val_peft_model)
print(f"predict:{response}")
print(f"gt:{label}\n")
test_image_list.append(swanlab.Image(image_file_path, caption=response))
swanlab.log({"Prediction": test_image_list})
# 在Jupyter Notebook中运行时要停止SwanLab记录,需要调用swanlab.finish()
swanlab.finish()看到下面的进度条即代表训练开始:

💻 训练结果演示
详细训练过程请看这里:ZeyiLin/Qwen2-VL-ft-latexocr

从SwanLab图表中我们可以看到,学习率的下降策略是线性下降,loss随epoch呈现下降趋势,同时grad_norm也呈现下降趋势。这种形态反映了模型的训练效果是符合预期的。
在Prediction图表中记录着模型最终的输出结果,可以看到模型在回答的风格已经是标准的LaTex语法。

对这四个结果进行验证,跟输入图像完成一致。


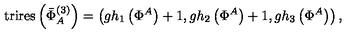
那么与没有微调的模型进行效果对比,我们选择997.jpg:

没有微调:(10,10),(989,989)
微调后:\mathrm { t r i e s } \left( \vec { \Phi } _ { A } ^ { ( 3 ) } \right) = ( g h _ { 1 } \left( \Phi ^ { A } \right) + 1 , g h _ { 2 } \left( \Phi ^ { A } \right) + 1 , g h _ { 3 } \left( \Phi ^ { A } \right) )可以看到没有微调的模型,对于这张图片的输出明显是错误的;
而微调后的模型,有着非常完美表现:

🧐 推理LoRA微调后的模型
加载lora微调后的模型,并进行推理:
from transformers import Qwen2VLForConditionalGeneration, AutoProcessor
from qwen_vl_utils import process_vision_info
from peft import PeftModel, LoraConfig, TaskType
prompt = "你是一个LaText OCR助手,目标是读取用户输入的照片,转换成LaTex公式。"
local_model_path = "./Qwen/Qwen2-VL-2B-Instruct"
lora_model_path = "./output/Qwen2-VL-2B-LatexOCR/checkpoint-124"
test_image_path = "./LaTeX_OCR/997.jpg"
config = LoraConfig(
task_type=TaskType.CAUSAL_LM,
target_modules=["q_proj", "k_proj", "v_proj", "o_proj", "gate_proj", "up_proj", "down_proj"],
inference_mode=True,
r=64, # Lora 秩
lora_alpha=16, # Lora alaph,具体作用参见 Lora 原理
lora_dropout=0.05, # Dropout 比例
bias="none",
)
# default: Load the model on the available device(s)
model = Qwen2VLForConditionalGeneration.from_pretrained(
local_model_path, torch_dtype="auto", device_map="auto"
)
model = PeftModel.from_pretrained(model, model_id=f"{lora_model_path}", config=config)
processor = AutoProcessor.from_pretrained(local_model_path)
messages = [
{
"role": "user",
"content": [
{
"type": "image",
"image": test_image_path,
"resized_height": 100,
"resized_width": 500,
},
{"type": "text", "text": f"{prompt}"},
],
}
]
# Preparation for inference
text = processor.apply_chat_template(
messages, tokenize=False, add_generation_prompt=True
)
image_inputs, video_inputs = process_vision_info(messages)
inputs = processor(
text=[text],
images=image_inputs,
videos=video_inputs,
padding=True,
return_tensors="pt",
)
inputs = inputs.to("cuda")
# Inference: Generation of the output
generated_ids = model.generate(**inputs, max_new_tokens=8192)
generated_ids_trimmed = [
out_ids[len(in_ids) :] for in_ids, out_ids in zip(inputs.input_ids, generated_ids)
]
output_text = processor.batch_decode(
generated_ids_trimmed, skip_special_tokens=True, clean_up_tokenization_spaces=False
)
print(output_text[0])
补充
详细硬件配置和参数说明
使用4张A100 40GB显卡(总显存占用大约),batch size为4,gradient accumulation steps为4,训练2个epoch的用时为8分钟51秒。


注意
- 在微调脚本中,
val_peft_model加载的是一共固定的checkpoint文件,如果你添加了数据或超参数,请根据实际情况修改checkpoint文件路径。
